Skip to main content

Author: Hybrid_49

Development of a More Sustainable 2nd Generation Route to Peptide-Maleimidocaproyl MonoMethyl Auristatin F (mcMMAF)-the Cytotoxic Payload for Blenrep®, A Novel Antibody Conjugate Drug (ACD) for the Treatment of Multiple Myeloma

2024 Peter J. Dunn Award for Green Chemistry & Engineering Impact in the Pharmaceutical Industry

GSK’s winning submission demonstrated a more sustainable peptide manufacturing route for maleimidocaproyl monomethyl auristatin F (mcMMAF)—a drug used to treat multiple myeloma, a rare cancer affecting plasma cells. GSK team members being recognized are Danny Mancheno, Ian Andrews, Qiaogong Su, Kenneth Arrington, Mark Mellinger, Gregory Gilmartin, Aleksey Karulin, Anthony Nocket, John Kowalski, John Woodard (Collegeville, Pa.), and Chris Thickitt (Stevenage, UK). The first-generation route had already been commercialized and filed with the FDA however, GSK determined a more efficient route was needed. The team took on this complex challenge and developed a 2nd generation route that reduced solvent consumption by 16,160 kgs for every kilogram, greenhouse gas emissions by 71 percent, and energy consumption by 76 percent. Additionally, the route eliminated all single-use silica gel chromatographic separations, achieving an overall 76 percent reduction in Process Mass Intensity (PMI).

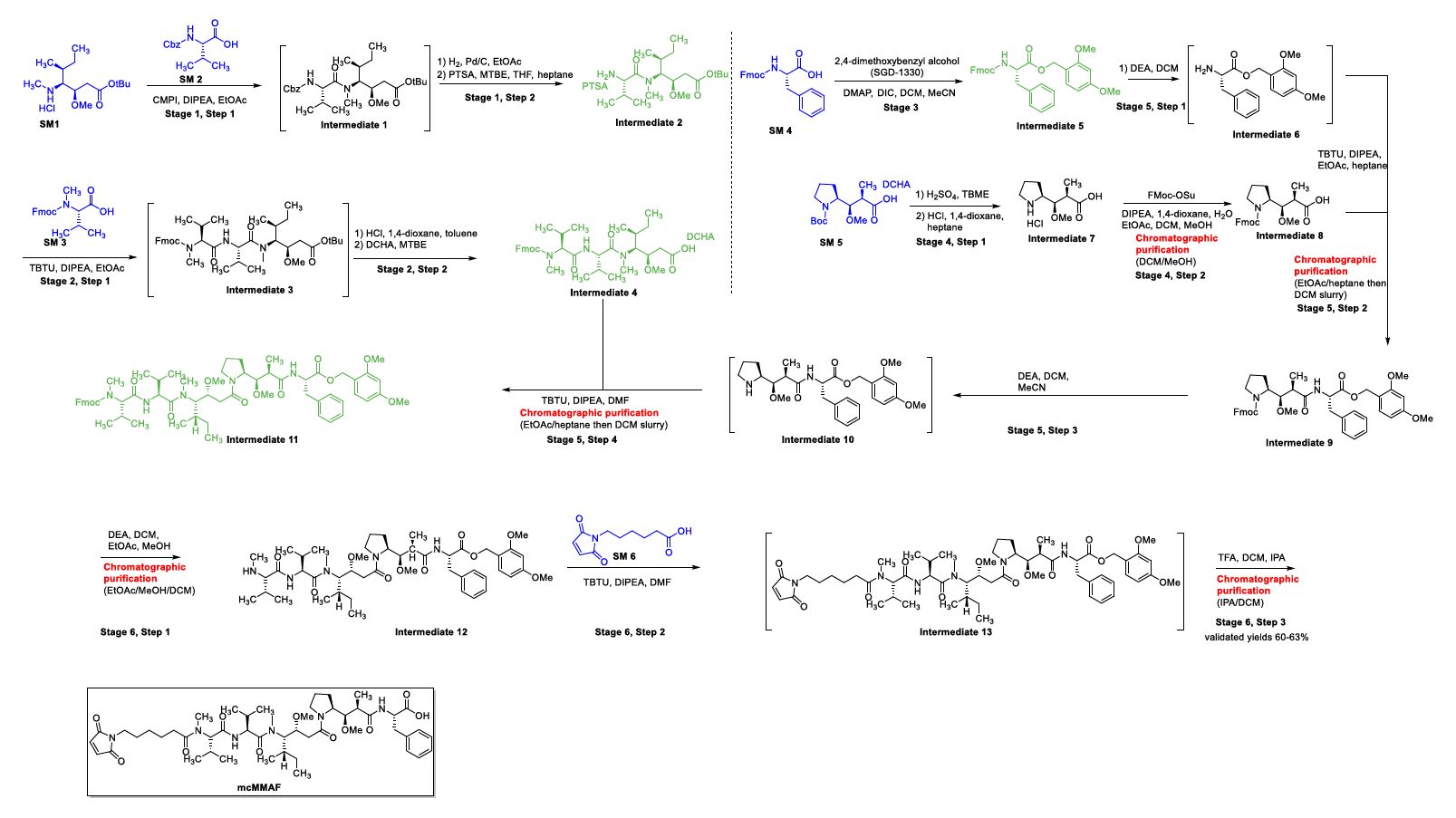
First Generation Process to McMMAF

More about the Award

The Peter J. Dunn Award, established in 2016, recognizes outstanding industrial implementation of novel green chemistry and/or engineering in the pharmaceutical industry that demonstrates compelling environmental, safety, cost, and/or efficiency improvements over current technologies.

This annual award is presented at the Green Chemistry & Engineering Confernece where presenters are invited to share their innovations. 

Pictured: Danny E. Mancheno, Principal Investigator at GSK, accepts 2024 Pete Dunn Award from Isamir Martinez (ACSGCI) and ACS GCIPR 2024 Co-Chair, Dan Bailey of Takeda.

2024 Pete Dunn Award Winner - GSK

Continue reading

Sample Student Award

Lorem ipsum dolor sit amet, consectetur adipiscing elit, sed do eiusmod tempor incididunt ut labore et dolore magna aliqua. Ut enim ad minim veniam, quis nostrud exercitation ullamco laboris nisi ut aliquip ex ea commodo consequat.

Green Chemistry Articles of Interest to the Pharmaceutical Industry – September 2023

Green Chemistry Articles of Interest to the Pharmaceutical Industry Melissa A. Ashley, Miles H. Aukland, Marian C. Bryan*, Megan A. Cismesia, Oliver D. Engl, Pascal S. Engl, Álvaro Enriquez Garcia, Alejandro Gimenez Molina, George Karageorgis, Christopher B. Kelly, Alexandre Leclair, Wei Li, Jan Pawlas, Paul F. Richardson, Alan Steven*, Balaram S. Takale, Mingshuo Zeng, and Yongda Zhang., Org. Process Res. Dev. 2023, 27, 11, 1858-1867. Publication Date: September 13, 2023. https://doi.org/10.1021/acs.oprd.3c00258

Green Chemistry Articles of Interest to the Pharmaceutical Industry – April 2023

Green Chemistry Articles of Interest to the Pharmaceutical Industry Marian C. Bryan*, Charlotte Dalton, Alba Díaz-Rodríguez, Jaika Doerfler, Oliver D. Engl, Alejandro Gimenez Molina, Vanessa Harawa, Christopher B. Kelly, Wei Li, Rachel H. Munday, Jan Pawlas, Paul F. Richardson, William J. Smith III, Alan Steven*, Balaram S. Takale, Jack A. Terrett, Daniel S. Treitler, and Mingshuo Zeng., Org. Process Res. Dev. 2023, 27, 4, 563–570. Publication Date: April 4, 2023. https://doi.org/10.1021/acs.oprd.3c00065